前回で実際に実際に重積分法を使ってはりのたわみを求めてみた。

基本的に重積分法でほとんどのはりのたわみを求められるが計算が面倒なのでもっと直感的に簡単に求める方法があるので説明する。
今の時代では何度も述べている通りシミレーションが簡単になって身近になっているので今回、紹介する方法を実際に使うことはほぼないだろう。
ただ概念として覚えておくとレイアウト、スケッチの時に構造物の変形の予測に役立つことがしばしばあるので是非、理解して欲しい。
面積モーメント法による解法
新しく紹介する方法は、面積モーメント法というのだが名前だけではなんのこっちゃとなるので順に説明していく。
いつもながらの例題を設定していく。長さlの方持ちはりの先端に荷重Pが掛かっている。座標は左端を原点とする。

これのたわみを求めていく。
重積分法だと外力の釣り合い、モーメントの釣り合いから任意の点での曲げモーメントと求めていくが今回はちょっと異なる。
面積モーメント法の証明
まず任意の区間A-Bを抜き出す。ここで点Aのたわみ角をθA,たわみをyAとし点Bも同様に設定する。

まず以前に紹介したたわみ角、たわみの式を思いだそう。
$ \frac{dy}{dx}=θ=-\int\frac{M}{EI}dx+C1 (C1は積分定数)$
$ y=\intθdx=-\int\int\frac{M}{EI}dxdx+C1x+C2 $

上の2式を使って例題のたわみ角θBとたわみyBを求めてみよう。
たわみ角の境界条件はxがxAの時にたわみ角がθAなので境界条件C1はθAとなる。
$ θB=θA-\int_{xA}^{xB}\frac{M}{EI}dx $
$ \int_{xA}^{xB}\frac{M}{EI}dx $は曲げモーメント図(BMD)の面積になる。

たわみの境界条件はxがxAの時にたわみ量がyAなので境界条件C2はyAになる(C1はθA、xはxB-xA)。
$ yB=-\int\int\frac{M}{EI}dxdx +θA(xB-xA)+yA $
ここで問題になるのが$ \int\int\frac{M}{EI}dxdx $だ。
2重積分のルールで同じ変数(この式ではdx)を2重にはできないので変数をdξとdxの2つにわける(ξには特別な意味はない)。面倒なのだが積分範囲もξとxでわける必要があるのでξはxAからx、xはxAからxBまでにする(2重積分は刻む必要がある)。
これで式は以下のようになる。
$ yB=yA+θA(xB-xA)-\int_{xA}^{xB}\int_{xA}^{x}\frac{M}{EI}dξdx $
まず2重積分$ \int_{xA}^{xB}\int_{xA}^{x}\frac{M}{EI}dξdx $を解いていこう(ここからは算数だ)。
2重積分$ \int_{xA}^{xB}\int_{xA}^{x}\frac{M}{EI}dξdx $の計算
2重積分の中央の$ \int_{xA}^{x}\frac{M}{EI}dξ $部分は積分するとxの関数になるので仮でf(x)とする。
$\int_{xA}^{xB}\int_{xA}^{x}\frac{M}{EI}dξdx=\int_{xA}^{xB}f(x)dx $
ここで目には見えていない関数を見つけよう。見えていない関数は$ \int_{xA}^{xB}f(x)×1dx $の1だ。積分の式の中だと1はxの微分と見做せるのでxをg(x)、1をg’(x)とする。
$ \int_{xA}^{xB}\int_{xA}^{x}\frac{M}{EI}dξdx=\int_{xA}^{xB}f(x)dx=\int_{xA}^{xB}f(x)g’(x)dx(‘は微分の意味) $
ここで高校数学の部分積分”$ \int f(x)g’(x)dx=f(x)g(x)-\int f’(x)g(x)dx $を適用して計算する。
$ \int_{xA}^{xB} f(x)g’(x)dx=[f(x)g(x)]_{xA}^{xB}-\int_{xB}^{xA} f’(x)g(x)dx $
ここでf(x)、g(x)を元に戻すと下の式になる。f’(x)はf(x)の微分なので$ \int_{xA}^{x}\frac{M}{EI}dξ $の微分の$ \frac{M}{EI} $になる。
$ [f(x)g(x)]_{xA}^{xB}-\int_{xB}^{xA} f’(x)g(x)dx=[\int_{xA}^{x}\frac{M}{EI}dξ・x]_{xA}^{xB}-\int_{xA}^{xB}\frac{M}{EI}xdx $
ここで$ [\int_{xA}^{x}\frac{M}{EI}dξ・x]_{xA}^{xB} $を計算してみる。
$ [\int_{xA}^{x}\frac{M}{EI}dξ・x]_{xA}^{xB}=\int_{xA}^{xB}\frac{M}{EI}dξ・xBー\int_{xA}^{xA}\frac{M}{EI}dξ・xA $
$ \int_{xA}^{xA}\frac{M}{EI}dξ・xA $は積分範囲がxAからxAまでなので0になる。
$ [\int_{xA}^{x}\frac{M}{EI}dξ・x]_{xA}^{xB}=\int_{xB}^{xA}\frac{M}{EI}dξ・xB $
よって
$ [\int_{xA}^{x}\frac{M}{EI}dξ・x]_{xA}^{xB}-\int_{xA}^{xB}\frac{M}{EI}xdx=\int_{xB}^{xA}\frac{M}{EI}dξ・xB -\int_{xA}^{xB}\frac{M}{EI}xdx $
ここで$ \int_{xB}^{xA}\frac{M}{EI}dξ $と$ \int_{xB}^{xA}\frac{M}{EI}dx $は変数の名前が違うだけで意味は同じなので次のように書き直せる。
$ \int_{xB}^{xA}\frac{M}{EI}dξ・xB-\int_{xB}^{xA}\frac{M}{EI}xdx =\int_{xA}^{xB}\frac{M}{EI}(xB-x)dx $
これでやっと2重積分の計算が終わった。
$ \int_{xA}^{xB}\frac{M}{EI}(xB-x)dx $の意味
$ \int_{xA}^{xB}\frac{M}{EI}(xB-x)dx $の持つ意味を考えていこう。
ここで$ \int_{xA}^{xB}\frac{M}{EI}(xB-x)dx $ のxB-xをYと置く。
$ \int_{xA}^{xB}\frac{M}{EI}(xB-x)dx=\int_{xA}^{xB}\frac{M}{EI}Y・dx\frac{dY}{dx}=-\int_{xA}^{xB}\frac{M}{EI}YdY=\int_{xB}^{xA}\frac{M}{EI}YdY $
この$ \int_{xB}^{xA}\frac{M}{EI}YdY $に見覚えがないかな?
図で解説するとYはxB-xと置いたのでBMDの線分B1-B2周りの断面1次モーメントになるのだ($ 断面1次モーメント\int_{A}ydA $)。

ここで思い出してもらいたいのは断面1次モーメントを面積で割ると図心が求められる。
BMDの線分B1-B2からのx軸方向の図心をxGとすると次の式が成り立つ。
$ \int_{xB}^{xA}\frac{M}{EI}YdY=AxG(AはBMDの面積)=\int_{xA}^{xB}\frac{M}{EI}(xB-x)dx $
つまり2重積分$ \int_{xA}^{xB}\int_{xA}^{x}\frac{M}{EI}dξdx $は単純な積分$ \int_{xA}^{xB}\frac{M}{EI}(xB-x)dx $になって最後にはただのAxGとなるのだ(xGは線分B1-B2からの距離に注意)。
このAxGが面積モーメントと呼ばれるので面積モーメント法と呼ぶ。

断面1次モーメントと図心の関係は下の記事で解説している。

たわみyB
ここで最初のたわみyBに戻る。
$ yB=yA+θA(xB-xA)-\int_{xA}^{xB}\int_{xA}^{x}\frac{M}{EI}dξdx、θB=θA-\int_{xA}^{xB}\frac{M}{EI}dx $
上の式をAxGで表すと下の式になる。
$ yB=yA+θA(xB-xA)-AxG、θB=θA-A $
結局のところたわみは境界条件と曲げモーメント図の面積、図心がわかれば簡単な式で求められるのだ。
なのでここまでで紹介した2回微分方程式を頑張って求めなくても良いのだ。
実際に面積モーメント法でたわみを求めてみよう。
実際に面積モーメント法を使ってみる
例題の長さlの方持ちはりの先端に荷重Pが掛かっている場合のたわみを求める。

曲げモーメントは単純に$ \frac{P}{EI}(l-x)$になる。

θA、θBをはりの両端のたわみ角とするとθ Aは固定されているから0なので
$ θB=-A=-\frac{Pl^2}{2EI} $
同様にyBも
$ yB=-AxG=\frac{Pl^3}{3EI} $
と簡単に求まる。
代表的なはりのたわみを求めるで同じ条件のはりのたわみを求めているので比べて見て欲しい。

このように曲げモーメントの関係図が簡単にわかる場合は、楽にたわみを求めることができる。
代表的な曲線と面積、図心の関係
代表的な曲げモーメントの図形と面積、図心の関係を載せておくので是非、利用して欲しい。

構造物にかかる外力を見たときに曲げモーメントが簡単に想像できる場合に面積モーメント法を思い出してイメージすると簡単に変形量が想像できると思う。
特異関数を用いたたわみの解法
これまでははりに単位一種類の荷重がかかる場合のたわみを求めてきた。
しかし実際にははりに複数の種類の荷重が掛かっていることが多い。そのような場合でも重積分法を使って頑張れば解けるのだがかなり面倒なことになる。

そこで特異関数というものを使うと多少、楽に求まるので説明する。
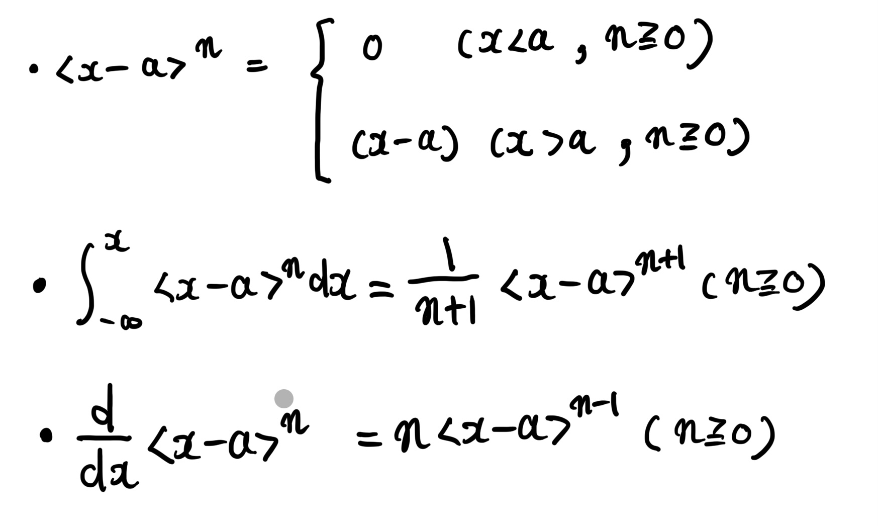
特異関数って何だ
これはそんなに難しくなくただの決まり事なので軽く記憶に留めて欲しい。
次の図に特異関数の性質を載せておく。

すごく簡単で<>の中身が+になるときに関数が有効でそれ以外は0とするだけである。
図にすると$ <x-a>^0 $($ x^0=1 $)は、

まあこの特異関数はどちらかというと制御工学とか論理式でよく使う。もしかしたら制御も解説するかもしれないので詳細はそちらで説明する。
でここから特異関数を用いた場合の曲げモーメントMの表し方を紹介する。曲げモーメントM0、荷重P、等分布荷重qが作用する場合を考える。

この式をはりにかかる力ごとに入れて式を立てれば少し楽に求まる。
等分布荷重の例について少し解説しよう。
等分布荷重の例は荷重がかからない距離x<a、等分布荷重内の距離a<x<b、等分布荷重を超えた距離b<xの3つに分かれる。

等分布荷重の曲げモーメントの扱いについては下のページで記述しているのでわからない場合は覗いて見て欲しい。

この特異関数を使った解法例として下の図のような両持ちはりを考えてみよう。

上の表の特異関数を使えば曲げモーメントがすぐにわかるはずだ。
$ 曲げモーメントM=RA+P<x-a>^1-M0<x-b>^0-\frac{q}{2}<x-c>^2 $
ここからは2回微分方程式を解くか面積モーメント法で解いても良い。
まとめ
まとめると今回は面責モーメント法、特異関数を用いる方法を紹介した。
ポイントは一つだけで面積モーメント法では曲げモーメントの曲線の面積と図心の位置はたわみ角、たわみ量に関係することだけだ。
後はこんな解法があったなと記憶に留めておけば問題ない。
特に昨今は、シミレーションなどで簡単に求められるので今回、紹介した内容は使う機会はたぶん少ないが引き出しは多い方が良いのでまあ理解しておけば問題ない。
ただし学生は別でこの辺ができないとたぶん単位取得試験で時間内にはりのたわみを解くのが難しいと思う。
重積分法でゴリゴリやっても良いのだが試験問題は他にもあるはずなのでヤバイことになると思う。
次回ははりの不静定問題の解法のコツとできれば組み合わせはり(異種材料材)まで紹介したい。

この記事が「設計の理解」に少しでも役立ったと感じた方へ
基本的に本内容の教科書は存在せず筆者オリジナルですが筆者が学生から使っている教科書を紹介します。



コメント